Hat Matrix In Regression

Introduction To The Hat Matrix In Regression Youtube

Introduction To The Hat Matrix In Regression Youtube

Hat Matrix With Simple Linear Regression Mathematics Stack Exchange

Hat Matrix With Simple Linear Regression Mathematics Stack Exchange

Hat Matrix And Leverages In Classical Multiple Regression Cross Validated

Hat Matrix And Leverages In Classical Multiple Regression Cross Validated

Hat Matrix Freakonometrics

Hat Matrix Freakonometrics

How Is It The Hat Matrix Spans The Column Space Of X Really Nice Youtube

How Is It The Hat Matrix Spans The Column Space Of X Really Nice Youtube

What Is The Importance Of Hat Matrix H X X Top X 1 X Top In Linear Regression Cross Validated

What Is The Importance Of Hat Matrix H X X Top X 1 X Top In Linear Regression Cross Validated

What Is The Importance Of Hat Matrix H X X Top X 1 X Top In Linear Regression Cross Validated

Where Y is the outcome with X as predictors.

Hat matrix in regression. We call this the hat matrix because is turns Ys into Ys. Matrix notation applies to other regression topics including fitted values residuals sums of squares and inferences about regression parameters. A projection matrix known as the hat matrix contains this information and together with the Studentized residuals provides a means of.

Y-axis represents standardized residuals. Simple Linear Regression in Matrix Format 36-401 Section B Fall 2015 13 October 2015 Contents. What is the Hat matrix known in econometrics as the projection matrix P in regressionA picture of what the Hat matrix does in regressionHow does the hat m.

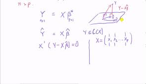
Visually by contrasting two di erent viewpoints on multiple linear regression. It is useful for investigating whether one or more observations are outlying with regard to their X values and therefore might be excessively influencing the regression results. Properties and Interpretation Week 5 Lecture 1 1 Hat Matrix 11 From Observed to Fitted Values.

The hat matrix in regression is just another name for the projection matrix. It is defined as the matrix that converts values from the observed variable into estimations obtained with the least squares method. Estimated Covariance Matrix of b This matrix b is a linear combination of the elements of Y.

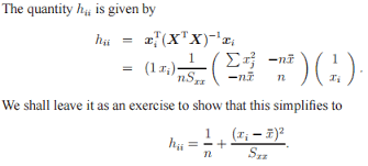
Lets look at some of the properties of the hat matrix. I understand that the trace of the projection matrix also known as the hat matrix XInv XXX in linear regression is equal to the rank of X. The hat matrix is a matrix used in regression analysis and analysis of variance.

These estimates will be approximately normal in general. Working paper Sloan School of Management. These estimates are normal if Y is normal.

Multiple Linear Regression Ppt Download

Multiple Linear Regression Ppt Download

Hat Matrix And Leverages In Classical Multiple Regression Cross Validated

Hat Matrix And Leverages In Classical Multiple Regression Cross Validated

This Exercise Is About Hat Matrix I Need To Prove Chegg Com

This Exercise Is About Hat Matrix I Need To Prove Chegg Com

Linear Regression 5 Mlr Hat Matrix And Mlr Ols Evaluation By Adam Edelweiss Serenefield Medium

Linear Regression 5 Mlr Hat Matrix And Mlr Ols Evaluation By Adam Edelweiss Serenefield Medium

Multiple Linear Regression Learning Objectives Extend Simple Linear

Multiple Linear Regression Learning Objectives Extend Simple Linear

Http Www Stat Columbia Edu Fwood Teaching W4315 Fall2009 Lecture 11

Http Www Stat Columbia Edu Fwood Teaching W4315 Fall2009 Lecture 11

Multiple Linear Regression The Hat Matrix Youtube

Multiple Linear Regression The Hat Matrix Youtube

Hat Matrix And Leverages In Classical Multiple Regression Cross Validated

Hat Matrix And Leverages In Classical Multiple Regression Cross Validated

Linear Regression Using Matrix Multiplication In Python Using Numpy Python And R Tips

Linear Regression Using Matrix Multiplication In Python Using Numpy Python And R Tips

5 4 A Matrix Formulation Of The Multiple Regression Model Stat 462

5 4 A Matrix Formulation Of The Multiple Regression Model Stat 462

Hat Matrix An Overview Sciencedirect Topics

Hat Matrix An Overview Sciencedirect Topics

Problem 1 4 Regression Model In Matrix Form Chegg Com

Problem 1 4 Regression Model In Matrix Form Chegg Com

Compute Projection Hat Matrix Via Qr Factorization Svd And Cholesky Factorization Stack Overflow

Compute Projection Hat Matrix Via Qr Factorization Svd And Cholesky Factorization Stack Overflow

How To Derive Variance Covariance Matrix Of Coefficients In Linear Regression Cross Validated

How To Derive Variance Covariance Matrix Of Coefficients In Linear Regression Cross Validated

Source : pinterest.com